UQ Library Training Intensives
R
QGIS
Python
Project Gallery
UQL Technology Training
Communities of Practice
Source
Report an issue
Categories
All
(69)
25Summer
(21)
25Winter
(24)
26Summer
(24)
data: birds_strikes.csv
(4)
data: books.csv
(12)
data: coffee_survey.csv
(11)
data: gapminder.csv
(2)
data: hospital_data.csv
(3)
data: melb_data.csv
(5)
data: Players2024.csv
(7)
data: population.csv
(2)
data: qld_fuel.csv
(5)
Python
(21)
QGIS
(15)
R
(33)
Project gallery
View all projects from all intensives, or choose a particular subset on the right.
BNEEVChargerDistribution
Asukahorikoshi
Feb 12, 2026
Public Toilets Coverage In Brisbane
Bardia Danaei
Feb 12, 2026
Yeppoon Acid Sulphate Soils
Collins
Feb 12, 2026
Scenario 3 Land Use
Edison
Feb 12, 2026
Bne Drop Bear Map
Frank
Feb 12, 2026
Sc Vbd Incidence
Gabriel Parker
Feb 12, 2026
Map Kgari
Kent
Feb 12, 2026
Cilicia Precipitation Map
Makayla Harding
Feb 12, 2026
Brisbane Food Environment
Nara
Feb 12, 2026
Mortality Across Qld Health Department
Quan
Feb 12, 2026
Ed Visits Among Ms Children
Rh
Feb 12, 2026
MuralagIslandSampleLocations
Shawneegorringe
Feb 12, 2026
Books
Stéphane
Feb 12, 2026
Exposure To Environment Risk (Bushfire)
Yifei
Feb 12, 2026
Bne_Planting_Priority
Feb 12, 2026
Cafe
Amber Sewell-Green
Jan 28, 2026
Good reads
Chuanqing Li
Jan 28, 2026
R Intensive Project
Hehe
Jan 28, 2026
Coffee Flavour Preferences
Tom
Jan 1, 2026
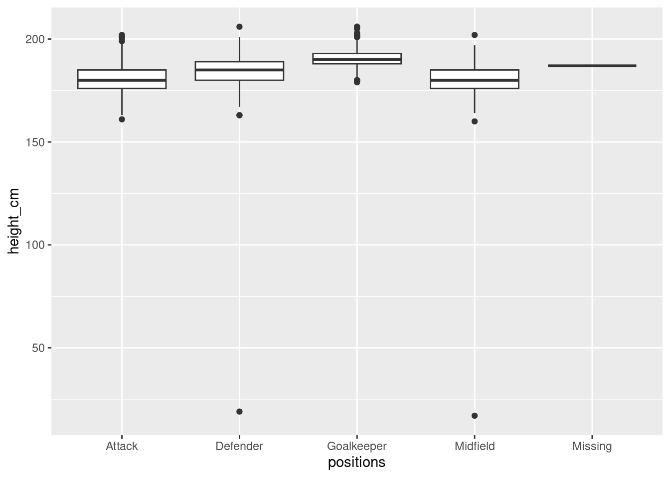
Goalkeepers and their heights
Cameron West and Stéphane Guillou
Jan 1, 2026
What Determines a Goodreads Rating?
Eugene, Kira, Chen and Jaz
Jan 1, 2026
Predicting Book Ratings from Text Reviews Count
Eugene, Kira, Chen, and Jaz
Jan 1, 2026
Wildlife
Nayomi and Julian
Jan 1, 2026
Taste testing coffee results
zoë
Jan 1, 2026
Mel Property
Sandya & Buddhika
Jul 17, 2025
Queensland hospitals data analysis
Swagata & Sandhya
Jul 17, 2025
Population: Presentation for R training
Jul 16, 2025
Life expectancy comparison between Australian and Cambodian populations between 1950 and 2023
Rob Cincotta and Diana Sanabria
Jul 10, 2025
My Python project
Nahar
Jul 10, 2025
Coffee Survey
Pawatsada Sanlom
Jul 9, 2025
Analysis of Coffee Preference
Kim, Janine, Sera & Akansha
Jul 9, 2025
Coffee preferences
Hannah, Orlando and Grace
Jul 9, 2025
My Python Report
Yuli Astriani & Elisabeth Natalia Palan Bolen
Jul 9, 2025
Queensland Fuel Price
Nana, Jia Vei Yar, Yawen
Jul 9, 2025
GDP per Cap in different continents
Prince
Jul 9, 2025
my python report
Sisay
Jul 9, 2025
FC Barcelona Team Analysis
Adriel Wijaya
Jul 1, 2025
Good Reads
Aisha Aslam
Jul 1, 2025
Workshop Project Report
Andrew
Jul 1, 2025
Report_ben
Jul 1, 2025
Project Hospital Report
Casey Atkins & Jess
Jul 1, 2025
QLD fuel
Jul 1, 2025
QLD Fuel
Jul 1, 2025
Book Report
Liz
Jul 1, 2025
Nora project
Nora
Jul 1, 2025
My Report
Cathy
Jul 1, 2025
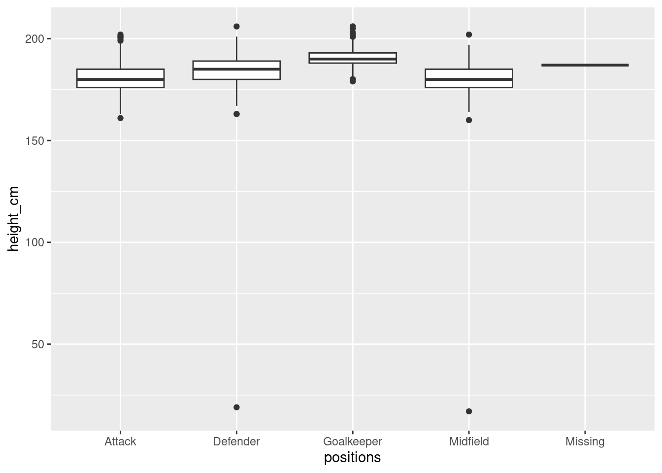
Goalkeepers and their heights
Cameron West and Stéphane Guillou
Jun 23, 2025
Goalkeepers and their heights
Cameron West and Stéphane Guillou
Jun 23, 2025
Queensland Fuel Price in 2023
Adelia & Lauren
Jan 16, 2025
Goodreads
Caira
Jan 16, 2025
Fuel Consumption
Edison Vargas
Jan 16, 2025
Fuel Consumption
Edison Vargas
Jan 16, 2025
Goodreads document
Emma
Jan 16, 2025
Bird Strikes and Aeroplane Damages in the U.S. (1990-1999)
Liz & Koyo
Jan 16, 2025
The popular author
Goodread
Jan 16, 2025
Project-Python
Jan 16, 2025
Aeroplane Bird Strike Incidents
Koyo Yanagisawa
Jan 15, 2025
Analyzing the Relationship between Ratings and Reviews for Books
Nurul Najihah
Jan 15, 2025
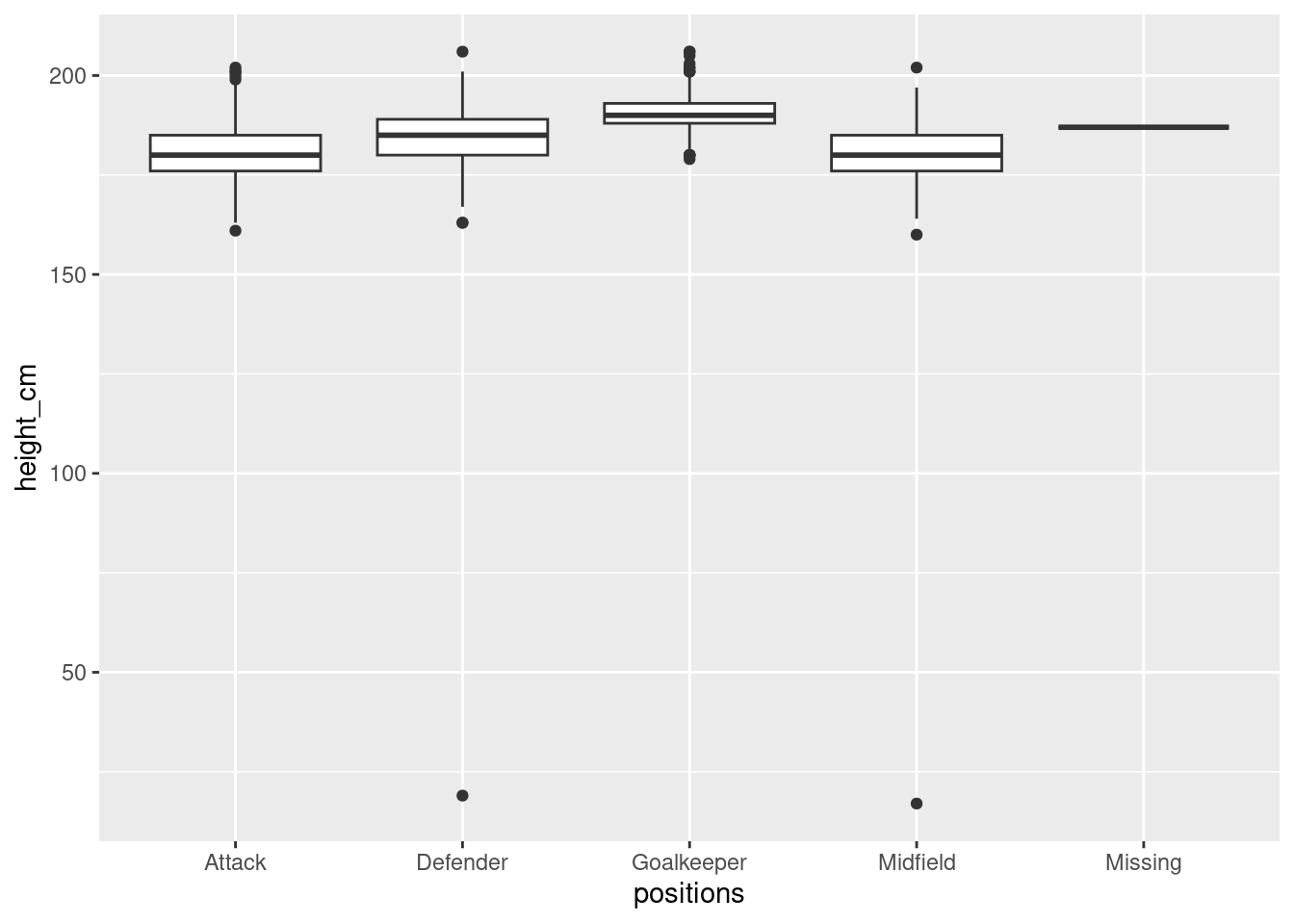
Goalkeepers and their heights
Cameron West and Stéphane Guillou
Jan 1, 2025
COFFEE
Adelia
Jan 1, 2025
Goodreads books published in 2006
Brittnee, Cleo, & David
Jan 1, 2025
BirdStrikes
Jan 1, 2025
Coffee
Caira Loo
Jan 1, 2025
📝 Coffee vs Employment status
Dawn
Jan 1, 2025
Melbourne Housing
Jan 1, 2025
Hospital Data
Jan 1, 2025
Impact of Birth Month on Football careers
Mehershad Wadia
Jan 1, 2025
Bird Strike Dashboard
Ediana
Jan 1, 2025
Coffee
Warren
Jan 1, 2025
No matching items