Set up code
library(ggplot2)
library(dplyr)
library(plotly)
library(knitr)
players_raw <- read.csv("../../../../data/Players2024.csv")Cameron West and Stéphane Guillou
June 23, 2025
We’ll begin just by taking a glimpse at the dataset:
| name | birth_date | height_cm | positions | nationality | age | club |
|---|---|---|---|---|---|---|
| James Milner | 1986-01-04 | 175 | Midfield | England | 38 | Brighton and Hove Albion Football Club |
| Anastasios Tsokanis | 1991-05-02 | 176 | Midfield | Greece | 33 | Volou Neos Podosferikos Syllogos |
| Jonas Hofmann | 1992-07-14 | 176 | Midfield | Germany | 32 | Bayer 04 Leverkusen Fußball |
| Pepe Reina | 1982-08-31 | 188 | Goalkeeper | Spain | 42 | Calcio Como |
| Lionel Carole | 1991-04-12 | 180 | Defender | France | 33 | Kayserispor Kulübü |
| Ludovic Butelle | 1983-04-03 | 188 | Goalkeeper | France | 41 | Stade de Reims |
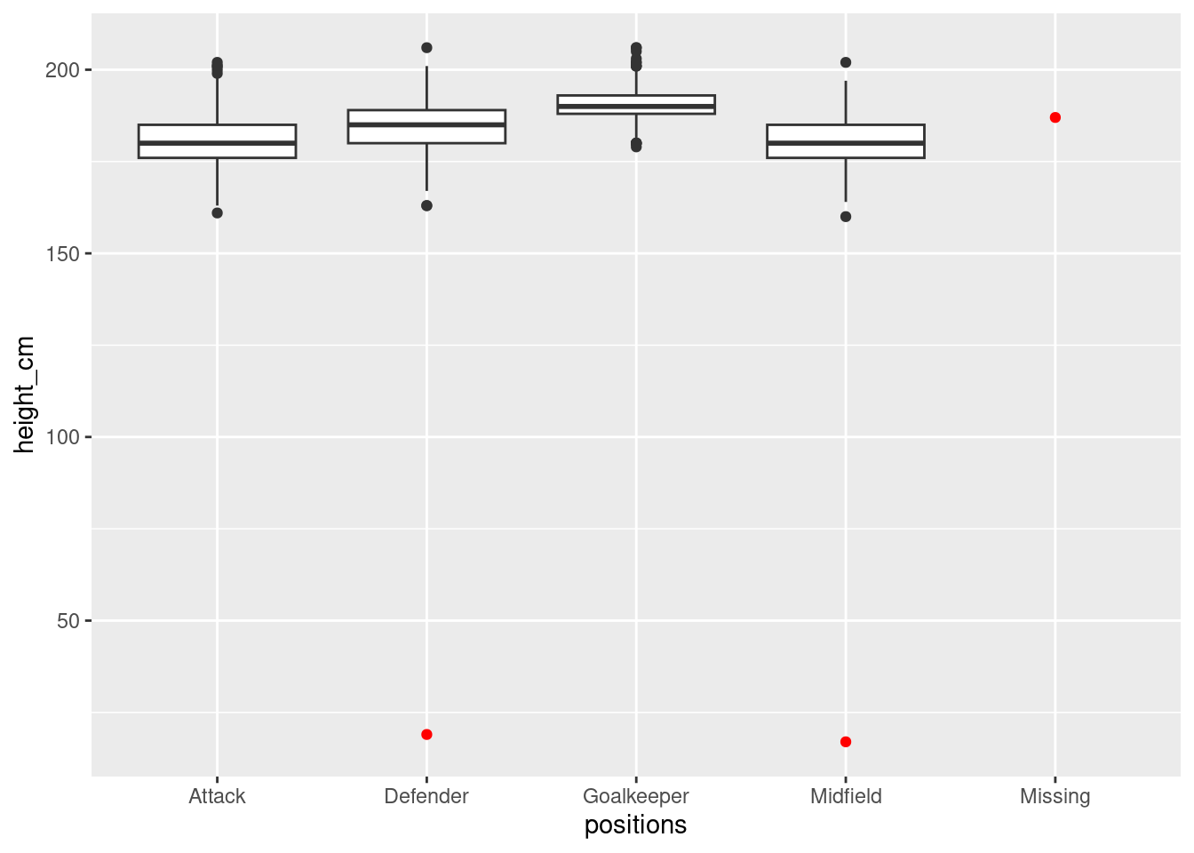
The data has a few issues, as the following plot shows:

It looks like some of the players’ positions and heights were recorded incorrectly. To clean, let’s remove the “Missing” positions and ensure that heights are reasonable:
To confirm, let’s plot the outliers in a different colour
After cleaning the data we can now analyse the players’ heights to see if there’s differences between positions. Let’s make the boxplot without the outliers

It looks like goalkeepers are taller than the rest!
Let’s through the age variable into the mix, to see if players’ heights allow them to compete longer.
It doesn’t look like there’s a relationship between heights and ages, but clearly it affects their position!
We haven’t looked at the nationality column yet. Let’s draw up a map using plotly to see where the players come from.
# Change country names to match plotly reference
players <- players %>%
mutate(nationality = case_match(nationality,
"England" ~ "United Kingdom",
"Türkiye" ~ "Turkey",
"Cote d'Ivoire" ~ "Ivory Coast",
"Northern Ireland" ~ "United Kingdom",
"Wales" ~ "United Kingdom",
.default = nationality))
# Make the country count
countries <- players %>%
group_by(nationality) %>%
summarise(n = n())
# Make the plot
countries %>%
plot_ly(type = "choropleth",
locations = countries$nationality,
locationmode = "country names",
z = countries$n) %>%
colorbar(title = "# of Players")---
title: Goalkeepers and their heights
author: Cameron West and Stéphane Guillou
date: 23-Jun-25
warning: false
#image: gallery/R/25Winter/example_project/tb.png
format:
html:
code-fold: true
code-summary: "Show code"
code-tools: true
categories: [R, 25Winter, "data: Players2024.csv"]
---
```{R}
#| code-summary: "Set up code"
library(ggplot2)
library(dplyr)
library(plotly)
library(knitr)
players_raw <- read.csv("../../../../data/Players2024.csv")
```
## A glimpse at the dataset
We'll begin just by taking a glimpse at the dataset:
```{R}
kable(head(players_raw))
```
## Cleaning the data
The data has a few issues, as the following plot shows:
```{R}
ggplot(players_raw, aes(x = positions, y = height_cm)) +
geom_boxplot()
#sns.catplot(df_raw, x = "positions", y = "height_cm")
```
It looks like some of the players' positions and heights were recorded incorrectly. To clean, let's remove the "Missing" positions and ensure that heights are reasonable:
```{R}
#| code-fold: show
# Remove missing position and ensure reasonable heights
players <- players_raw %>% filter(positions != "Missing", height_cm > 100)
```
To confirm, let's plot the outliers in a different colour
```{R}
# Identify outliers
outliers <- anti_join(players_raw, players)
# Plot
ggplot(players, aes(x = positions, y = height_cm)) +
geom_boxplot() +
geom_point(data = outliers, colour = "red")
```
## Visualising the players' heights
After cleaning the data we can now analyse the players' heights to see if there's differences between positions. Let's make the boxplot without the outliers
```{R}
ggplot(players, aes(x = positions, y = height_cm)) +
geom_boxplot() +
labs(x = "Position", y = "Height (cm)")
ggsave("tb.png")
```
It looks like goalkeepers are taller than the rest!
Let's through the age variable into the mix, to see if players' heights allow them to compete longer.
```{R}
#| title: Age vs Height
p <- ggplot(players, aes(x = age, y = height_cm, colour = positions, label = name, label2 = nationality)) +
geom_point() +
facet_wrap(vars(positions)) +
labs(x = "Age", colour = "Position", y = "Height (cm)")
ggplotly(p)
```
It doesn't look like there's a relationship between heights and ages, but clearly it affects their position!
## Global spread
We haven't looked at the nationality column yet. Let's draw up a map using plotly to see where the players come from.
```{R}
# Change country names to match plotly reference
players <- players %>%
mutate(nationality = case_match(nationality,
"England" ~ "United Kingdom",
"Türkiye" ~ "Turkey",
"Cote d'Ivoire" ~ "Ivory Coast",
"Northern Ireland" ~ "United Kingdom",
"Wales" ~ "United Kingdom",
.default = nationality))
# Make the country count
countries <- players %>%
group_by(nationality) %>%
summarise(n = n())
# Make the plot
countries %>%
plot_ly(type = "choropleth",
locations = countries$nationality,
locationmode = "country names",
z = countries$n) %>%
colorbar(title = "# of Players")
```